近日,凯发k8官网人工微结构协同创新中心的三个单位的研究人员,包括凯发k8官网物理学院温锦生教授、李建新教授与于顺利副教授、刘俊明教授,复旦大学李世燕教授和浙江大学路欣教授等课题组通力合作,在量子自旋液体的研究中取得了新的进展。该合作团队用浮区炉方法生长出被广泛认为是量子自旋液体的三角晶格材料YbMgGaO4,并且克服了样品易挥发、不稳定的难题,长出了该材料的姊妹材料YbZnGaO4。综合成分结构分析、直流磁化率、极低温比热、中子散射、极低温热导率、极低温交流磁化率等实验手段,结合线性自旋波的理论模拟,发现这些材料的真实基态为自旋玻璃态。相关成果以“Spin-Glass Ground State in a Triangular-Lattice Compound YbZnGaO4”为题发表在《物理评论快报》上 [Physical Review Letters 120, 087201 (2018)]。这是温锦生教授课题组与合作者在不到一年的时间里在该期刊发表的第四篇关于量子自旋液体方面的工作。
对于一般的磁性材料,在高温时会因为热涨落强,使得电子的自旋不会发生有序排列。随着温度的降低,热涨落变弱,系统为了降低自身的能量,会倾向于打破某种对称性,发生磁相变,成为一个磁有序系统。但是在量子自旋液体中,由于量子涨落非常强,导致系统里电子的自旋在绝对零度时仍处于一个像液体一样的无序状态——材料也因该特性而得名。有趣的是,虽然自旋无序排列,它们之间却存在着长程的量子纠缠,因此将来可以被应用于量子通讯。通过对其中的任意子激发进行操作,又能够实现量子计算。同时,基于量子自旋液体的基态与超导中库珀对的高度相似性,诺奖得主、普林斯顿大学的Philip Anderson提出,高温超导电性是通过掺杂量子自旋液体演化而来的。因此对它的研究有助于高温超导机制的理解。这种新奇的量子态也因此吸引了众多凝聚态领域的研究者。在具有三角或者Kagome格子的磁性材料中(如图1所示),反铁磁交换相互作用在一个三角格子的不同格点上不能被同时满足,由此造成了很强的几何阻挫,并产生了很强的形成量子自旋液体所需的量子涨落。因而,在这些材料中寻找量子自旋液体被认为是一个可行的方向。

图1. 二维的三角格子 (a) 和 Kagome格子 (b) 示意图; 箭头和问号分别代表自旋的方向和几何阻挫。
YbMgGaO4就是这样一种三角格子系统,而且之前多个研究组大量的实验证据表明该材料可能为一个理想的量子自旋液体。但是,作为量子自旋液体,该材料存在以下几个主要问题:1)材料的磁相互作用J很小,只有1.5 K,大约相当于0.15 meV,对探测仪器的分辨率提出了很高的要求;2)Mg2+与Ga3+完全换位,造成了很强的无序性,导致了无序的电荷环境,从而可能对磁相互作用造成影响。尽管这些离子在非磁层并且离Yb3+所在的磁层较远,但是在J很小的情况下,该无序的影响应当不能被忽略;3)该工作合作团队之一、李世燕教授课题组前期的热导率测量发现[Physical Review Letters 117, 267202 (2017)],该材料的热导没有来自于磁激发的正面的贡献,而根据其他实验结果,该材料的磁激发是无能隙的。这一结果对该材料作为一个无能隙的量子自旋液体的观点提出了很大的挑战。那么该材料究竟是不是量子自旋液体?如果不是,那它的真正基态究竟是什么?那些类似量子自旋液体的现象的起因又是什么?带着这些问题,该合作团队生长出了高质量的YbMgGaO4单晶,并且克服了种种困难,长出了一种新的三角晶格材料,YbMgGaO4的姊妹材料—YbZnGaO4(如图2所示),并运用多种技术手段并结合理论,进行了深入、系统、全面的比较研究。
直流磁化率结果[图2(c)]显示最低温度测到2 K时,仍然没有长程磁序的出现。通过对数据进行拟合,得到了该材料的J约为1.73 K,与YbMgGaO4接近。图2(d)展示了YbZnGaO4极低温的磁比热结果,在50 mK时仍然没有发现代表着相变的尖锐峰的出现。这些结果与此前对YbMgGaO4的测量结果非常类似。

图2. (a) YbZnGaO4晶体结构图; (b) Yb3+磁性层的俯视图; (c) YbZnGaO4单晶和多晶直流磁化率测试结果; (d) 0 T和9 T磁场下的磁比热测试结果; 插图为YbZnGaO4单晶样品。
随后,该合作团队用高质量的YbZnGaO4单晶 [如图 2 (d) 插图所示]进行了中子散射的测量。在弹性中子散射中他们发现材料不具有长程的磁有序。在非弹性中子散射中发现了如图3(a)所示的沿着布里渊区边界连续分布的很宽的激发谱,并且如图3(c)所示,该连续谱一直到延续到带顶1.4 meV。中子散射的结果也与之前YbMgGaO4的测量结果如出一辙。

图3. (a)和(b)分别为实验和理论计算能量为0.6 meV的动量空间的非弹性中子散射激发谱; (c)和(d) 分别为实验和理论计算的沿着布里渊区中M1-K-Γ1和Γ1-M2-Γ2高对称方向的色散结果图。
量子自旋液体一个非常重要的特征是具有分数化的激发,一种典型的分数化激发是自旋为1/2(spin-1/2)的自旋子(spinon)。该激发对应的准粒子不被局域在格点上,类似于巡游电子,具有自己的色散,两个自旋子的束缚态则对应于通常的自旋为1(spin-1)的磁振子(magnon)激发。磁性的中子散射是一个自旋为1(spin-1)的过程,因此在激发量子自旋液体中的准粒子时,需要同时激发准粒子与准粒子空穴组成的粒子-空穴对,而所有满足能量与动量守恒关系的粒子-空穴对都可以被激发。因此,中子散射得到的激发谱为连续谱,跟有明显色散关系的自旋波显著不同。基于该原因,类似于图3(a)和(c)所示的连续谱被认为是迄今为止最为可信的量子自旋液体的判据。但是,连续谱是否为量子自旋液体的充分必要条件呢?
YbZnGaO4与YbMgGaO4类似—J很小,且Zn2+离子和Ga3+离子的完全换位带来了很强的无序性。那么,如果在一个有序系统里引入无序,在J比较小的情况下,是否也可以产生实验所观测到的连续谱呢?基于这种考虑,该团队采用了之前理论学家提出的该材料的基态—长程有序的自旋条纹相,在这个基础上引入了无序,用各向异性的海森堡模型进行了线性自旋波计算。得到的部分结果如图3 (b)和(d)所示。通过与图3(a)和(c)的实验结果进行比较,可以很清楚地发现理论计算与实验观测可以很好地吻合。换言之,在有序系统中引入无序,同样可以产生连续谱,连续谱只是量子自旋液体的必要非充分条件。
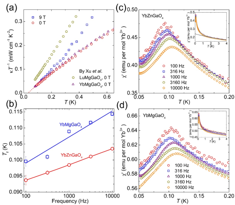
为了进一步揭示系统的基态,该团队进行了极低温热导率的测量。图4 (a)展示了YbZnGaO4和YbMgGaO4的热导率结果,可以看到这两个姊妹化合物的热导结果非常类似,同样在热导测试中没有探测到有任何巡游准粒子的迹象。该结果不支持无能隙的量子自旋液体模型,但是却可以用无序导致的自旋玻璃态来解释。在自旋玻璃态中,无序的存在导致了磁激发的平均自由程变得很短,从而对热导没有明显的贡献。
自旋玻璃态可以通过交流磁化率的测量进行证实。图4(b)-(d)显示了YbMgGaO4和YbZnGaO4单晶的极低温交流磁化率的结果。在100 Hz时,在99和93 mK分别探测到了这两个材料交流磁化率存在一个宽峰,并且峰的位置随着测量频率的增加向高温方向出现明显的移动。这恰恰是自旋玻璃态所具有的特征,表明了材料在该峰值温度以下自旋出现冻结,形成长程无序、短程有序的自旋玻璃相。该峰所对应的温度也被称为冻结温度Tf。
该自旋玻璃态可以很好地解释文章中所有的实验结果,如直流磁化率、比热、中子散射、热导、交流磁化率,而后两者与量子自旋液体相左,特别是交流磁化率的结果则直接说明了该材料的基态为自旋玻璃。在阻挫与无序存在的情况下,自旋玻璃相是一个常见的基态。

图4. (a) YbZnGaO4和YbMgGaO4与非磁性的LuMgGaO4热导结果比较; (b) YbZnGaO4和YbMgGaO4交流磁化测得的冻结温度随频率变化趋势图; (c)和(d)分别为YbZnGaO4和YbMgGaO4极低温交流磁化率随温度变化图;插图为温度最高测到4 K区间的交流磁化结果。
该工作在量子自旋液体领域具有非常重要的意义。表明看上去像是来源于量子自旋液体的实验观察其实是来源于无序导致的自旋玻璃态。特别是一度被认为是确定量子自旋液体最有力的证据—从中子散射测量中得到的连续谱,也可以由自旋玻璃态产生。这些结果为日后量子自旋液体的发现与判定提供了重要的启示。该工作的结论近期陆续得到了国外知名理论研究组的支持[Phys. Rev. Lett. 119, 157201 (2017), arXiv:1801.06941]。
凯发k8官网温锦生教授课题组的博士生马祯、王靖珲和李建新教授课题组的博士生董召阳以及复旦大学李世燕教授课题组的博士生张骏为论文的共同第一作者,凯发k8官网温锦生教授、李建新教授、于顺利副教授和复旦大学李世燕教授为共同通讯作者。马祯、王靖珲等进行了晶体生长、成分结构分析、直流磁化率、比热、中子散射等的测量。张骏等进行了极低温比热及热导的测量。美国量子设计公司的应用组成员进行了极低温交流磁化率的测量。中子散射实验工作由马祯、王靖珲等在德国慕尼黑工业大学的中子研究中心与澳大利亚布拉格研究所的谱仪上在谱仪科学家的协助下完成。凯发k8官网刘俊明教授、浙江大学路欣教授课题组分别在单晶生长与比热测量方面提供了帮助。该工作得到了国家自然科学基金、国家重大研发计划、一流大学和一流学科建设计划、人工微结构协同创新(2011)中心的支持。
(物理学院 科学技术处)