铁磁材料具有非易失性的磁性状态,是用来实现信息存储的理想载体。通过外场对其进行调控,并实现可控的磁性状态变化,是磁存储器件工作的物理基础。在众多外场调控手段中,应变调控可以在较大范围内改变材料的晶格结构,有望为实现新机制磁存储提供新思路。同时,二维层状磁性材料(CrI3, Cr2Ge2Te6 和 Fe3GeTe2等)因其独特的物性受到广泛关注。这类材料在器件小型化上拥有天然的优势,并易于产生应变调控,是应变电子学研究理想的材料体系。
凯发k8官网物理学院缪峰团队(https://nano.www.wcacw.com)长期从事二维层状材料的量子调控与器件应用研究。近日,缪峰团队利用面内单轴应力,对层状磁性材料Fe3GeTe2(FGT)的磁性状态进行原位调控,在实验上实现了超灵敏的磁矩翻转;团队还进一步和中国人民大学季威团队开展合作,对FGT中磁性状态的应变调控机制进行了理论分析和解释。该工作展现了利用应变来实现层状磁性材料物性调控的独特优势,并为低功耗磁存储器件研究提供了新的思路。相关研究成果以《Strain-sensitive magnetization reversal of van der Waals magnet》(范德瓦尔斯磁性材料的灵敏应变磁翻转)为题,于2020年9月13日发表在期刊《先进材料》(Advanced Materials)(论文链接:https://onlinelibrary.wiley.com/doi/10.1002/adma.202004533),凯发k8官网物理学院博士生王雨、中国人民大学博士生王聪以及凯发k8官网物理学院副研究员梁世军为论文共同第一作者,凯发k8官网缪峰教授、程斌副研究员和中国人民大学季威教授为该工作的共同通讯作者,新泽西州立大学S. W. Cheong教授为该工作提供了实验材料的支持。该工作得到国家杰出青年科学基金、国家自然科学基金等项目的资助,以及微结构科学与技术协同创新中心的支持。
在实验中,团队首先在聚酰亚胺(PI)柔性衬底上制备了Fe3GeTe2(FGT)器件(图1a、1b),利用自主研发的三端应变装置对器件进行原位单轴应变调控(图1c),并通过反常霍尔效应来观测样品的磁矩变化。同时,由于该应变装置可集成在制冷机插杆上,可在极低温(1.5 K)和强磁场(12 T)的极端条件下进行测试。在1.5 K时,通过研究不同应变强度下的霍尔电阻Rxy和磁场B的关系(图1d),发现磁滞窗口会随着应变的增强而逐渐变大。当应变增加到0.32%时,矫顽场增加了约150%,显示应变对磁性显著的调节作用(图1e)。

图1. (a)Fe3GeTe2晶格结构图;(b)柔性衬底器件的光学照片;(c)原位应变装置示意图;(d)1.5K时不同应变对应的磁滞回线;(e)不同应变下矫顽场的变化曲线。

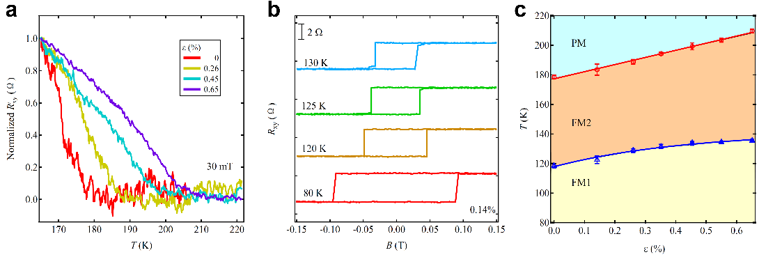
图2.(a)在不同应变强度下,居里温度的变化。其中居里温度由曲线拐点确定;(b)在0.14%应变下,随着温度的升高,样品从单磁畴态转变为多磁畴态;(c)样品在应变强度和温度下的相图。
研究成员还研究了FGT样品在应变-温度平面的相图。首先,研究成员在不同应变下对霍尔电阻Rxy进行变温测量,并通过Rxy为零的转折点确定居里温度Tc。结果显示随着应变的增加,Tc得到了显著的提升(图2a)。随后,研究成员通过不同应变下的磁滞回线随温度的变化获得迷宫型多磁畴态和单磁畴态之间的转变温度Tl。例如,当应变固定在0.14%时,磁滞回线在120K以下时呈现矩形,而在120K以上时呈现出不规则形状,实现了单磁畴态和迷宫型多磁畴态的转变(图2b)。基于上述居里温度Tc、磁畴转变温度(Tl)同应变的依赖关系,研究人员得到了单磁畴态、多磁畴态以及顺磁态在应变-温度平面的边界,并绘制了相图(图2c)。相图显示随着应力的增加,Tc近乎线性地增长,而Tl则会先增加然后趋于饱和。由于层状材料一般具有较大的应变承受能力,因此可以预期FGT样品的Tc在大应变调控下可以实现大幅的增长。
合作团队进一步利用第一性原理计算了FGT样品中的磁各向异性能(Magnetic anisotropy energy)以及磁交换作用(spin-exchange coupling)同单轴应变的关系。计算显示,磁各向异性能随着应变的增加会显著上升,并在超过0.6%的应变强度后开始下降(图3a),这与实验中观测到的矫顽场同应变的关系一致。另一方面,磁交换作用在应变下并没有显著的改变(图3b、3c)。计算结果表明,实验中观测到的应变调控行为来自于磁各向异性能的变化,这主要归因于在晶格形变时FGT样品中自旋轨道耦合效应的增强。

图3. (a)磁各向异性能随着单轴应力的变化曲线;(b)Fe3GeTe2晶格中磁交换作用的示意图;(c)磁交换作用随着单轴应力的变化曲线。

图4.(a)利用应变下矫顽场的改变,可实现应变辅助的磁翻转;(b-c)在应变辅助下,分别实现磁矩从"上"往"下"和从"下"往"上"的翻转。
最后,研究人员实现了应变辅助的磁翻转。研究人员先通过磁场控制磁矩的初始状态,再通过应变的调控来改变磁滞窗口的大小(图4a)。当矫顽场绝对值小于反向施加的磁场时,磁矩会失稳并翻转到与磁场同向的状态(图4b、4c)。值得一提的是,实验中实现翻转磁矩所需的应变改变量仅为~0.06%,展现了应变层状材料体系在未来低功耗磁存储技术领域的应用潜力。