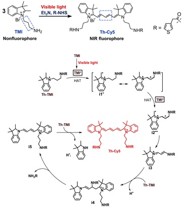
近红外菁染料Cy5在分子示踪、生物成像等领域应用广泛。目前,Cy5共轭骨架的合成通常需要无水无氧、高温辅助以及使用缩合剂等苛刻的反应条件,与细胞生长环境不相兼容。如何实现荧光染料分子在细胞环境中的原位可控合成一直是一个棘手的挑战性难题,而多步化学反应的连续性、细胞内部组分复杂的微环境更是大大增加了解决该问题的难度。光化学手段的应用为远程激活底物分子、调控目标产物的生成提供了机会。
我院冯福德教授和中科院化学所的王树研究员合作,提出了一种新颖的光激活Cy5合成方法。与传统Cy5合成方法不同,在本研究中,具有光敏性质的染料中间体1-(3-氨丙基) -2,3,3-三甲基-3-氢-吲哚(缩写为TMI)同时作为底物和光催化剂,其侧基被转化为Cy5的共轭骨架。在化学机制上,氢原子转移和迈克尔加成等化学反应参与了“准三聚”Cy5形成过程。

光激活TMI、合成Cy5的化学反应在水溶液中难以发生,但在活细胞特殊的胞内环境中能够发生。通过内吞途径,TMI随血清蛋白被细胞摄取后在溶酶体中转化为Cy5。在其他细胞器中,几乎观察不到Cy5的荧光信号。Cy5合成的光依赖性以及在溶酶体的高定位性,表明Cy5原位合成方法在时空分辨荧光成像领域具有很好的应用前景。

在活细胞细胞器中的光诱导Cy5合成方法具有多个方面的独特优势:1)仅使用一种外源性有机小分子;2)光辅助下,底物分子被激活后具有自催化能力,不需要引入其他光催化剂;3)反应过程耐受氧气和谷胱甘肽等氧化或还原性物种,与细胞胞内微环境及生存温度兼容;4)荧光背景低。该工作对近红外Cy5荧光染料的原位合成策略的探索,为拓展Cy5在生物成像领域的应用提供了一种新思路。
该工作以“Photoactivated in situ Generation of Near Infrared Cyanines for Spatiotemporally Controlled Fluorescence Imaging in Living Cells”(Hot paper)为题发表在Angew. Chem. Int. Ed.(2021,https://doi.org/10.1002/anie.202103706)上,硕士研究生宋刚和博士研究生衡浩为文章共同第一作者,冯福德教授和王树研究员为通讯作者。