稀土元素(REE)被广泛应用于清洁能源、芯片制造和国防安全等高科技领域,其成矿机制是矿床学界的研究热点。碳酸岩型稀土矿是REE的重要来源,其形成多与富硫酸盐的热液流体活动密切相关。然而,硫酸盐在REE成矿过程中的作用仍存争议。
为了查明硫酸盐在稀土成矿过程中扮演的角色,地球科学与工程学院王小林教授团队联合中科院深海所I-Ming Chou研究员和中科院地质所李晓春研究员开展了系统的在线高温高压实验和流体动力学模拟。研究表明,含稀土硫酸盐热液在高温条件下可分离为不混溶的两种液相,一为高度富集REE和硫酸盐的高密度液相(L1),一为贫REE和硫酸盐的低密度液相(L2) (图1)。这种现象倾向于在富CO2、低压和低氯化物含量的热液中发生。由于不混溶的两个液相具有明显的密度差异且贫REE液相具有较低的粘度,富REE液相将在重力作用下与贫REE液相高效分离,从而实现热液体系中REE的高效富集,为高品位稀土矿床的形成提供物质基础。

图1. 含稀土硫酸盐流体中的液-液不混溶现象
(V为气相, Aq为溶液相, L1为富集REE的高密度液相, L2为贫REE的低密度液相)
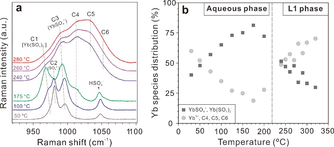
应用原位拉曼光谱分析技术对高温高压条件下流体的组成和结构进行了在线分析。结果表明,除了前人报道的REESO4+和REE(SO4)2–外 (C3, C1),REE3+与SO42-可形成更为复杂的络合物(REEm(SO4)n3m-2n, m>1,C4, C5, C6) (图2)。另外,在酸性条件下, HSO4–也是REE3+迁移的重要载体 (图2)。上述复杂络合离子对的形成导致了热液流体中液-液不混溶的发生。应用实验室建立的拉曼光谱定量分析技术对不同络合物迁移REE的贡献进行了评估,发现上述新的络合物在高温条件能够迁移50%以上的REE。因此,硫酸盐迁移、富集REE的能力可能被严重低估。

图2. 原位拉曼光谱分析揭示的含硫酸盐热液中REE3+的不同迁移形式(a)和不同形式的络合物携带REE的百分含量(b)
上述成果于2021年7月1日以“Role of sulfate in the transport and enrichment of REE in hydrothermal systems”为题在线发表于地球科学综合领域顶级杂志《Earth and Planetary Science Letters》上。现就职于中科院深海所的我校博士毕业生万野为论文第一作者,王小林教授与I-Ming Chou研究员为共同通讯作者。本研究得到了包括国家自然科学基金委青年基金、优秀青年基金、面上项目和中科院前沿科学重点研究计划等项目的资助和支持。
附论文信息:
Wan Ye, Wang Xiaolin*, Chou I-Ming*, Li Xiaochun (2021) Role of sulfate in the transport and enrichment of REE in hydrothermal systems. Earth and Planetary Science Letters, 569, article no. 117068. https://doi.org/10.1016/j.epsl.2021.117068