对称性是物理学中最为深刻的一个科学问题。在凝聚态物质中,物理量的对称性一般应该满足其晶格对称性大群中的某个子群。一般二维材料在面内具有三度或四度对称性,即物理量在二维面内旋转的时候,会出现三度或四度对称。对于一个三度或四度对称的系统,如果出现更高的二度对称性,则一定预示该材料中出现了新的约束或物态。最近,物理学院闻海虎、杨欢教授团队对于具有三度对称的笼目结构的新超导体CsV3Sb5进行了深入研究,发现了一种新颖的面内二度对称性。这一工作证明了该材料中正常态和超导态都具有二度性的特征,而且这两种二度性相互垂直,因此对CsV3Sb5奇异物理性质有了更新的认识。
笼目(kagome)晶格是由六边形排布为主,而存在共边三角形的复合二维网络结构(如图1a所示),具有三度或六度对称性。具有笼目结构的材料通常具有很多奇异电子特性,如自旋液体、自旋密度波、电荷密度波、超导电性等;此外,笼目结构材料中还可能出现平带和拓扑非平庸的电子能带。因此,最近发现的钒基笼目超导家族(AV3Sb5,A=K,Rb, Cs)引起了广泛关注,其超导转变温度为0.9-3.5K,而电荷密度波(CDW)转变发生在87-110K。在过渡金属化合物中,因为电荷、自旋、晶格、轨道等自由度之间的相互作用,很多有序态之间具有接近的能量。而其中有时候出现的二度对称性是对常规的三度或四度对称性的破坏,因此反映了系统中存在更新的约束和深刻的物理。比如铁基超导体中,由于dxz和dyz轨道的退简并出现差异,加上与自旋的相互作用,会出现新颖的电子向列相,它的近似二度对称性破坏了晶体的面内旋转对称性。部分拓扑超导体会出现二度对称的超导电性,例如,闻海虎教授团队前期在人工构造的Bi2Te3/高温超导异质结中观测到二度对称的超导电性,与拓扑超导的理论预期吻合【Sci. Adv. 4,eaat1084 (2018);Phys. Rev. B 101, 220503 (2020)】。
在对笼目结构的新超导体CsV3Sb5的研究中,他们采用了类Corbino形电极对CsV3Sb5的c方向电阻率进行测量,如图1a(下)所示,磁场平行于ab面并在面内旋转,电流沿着c方向并始终垂直于磁场。这样设计的实验有效避免了在面内同时加电流和磁场的时候可能会出现的假的二度性。图1b显示了2K和不同磁场条件下测量得到的电阻率随角度的变化曲线,可以看出存在明显的二度性,而对称轴沿着某一个晶轴(a-aixs)方向,因此破坏了晶体结构的面内六重(或三重)对称性。在外加磁场小于2.4T的超导态和大于2.4T的正常态,电阻率极小值对应的磁场方向相互垂直,说明这两种二度对称性相互垂直。这一结果在极坐标图1c,d中更加明显。另外,对于高场7T的数据还可以看到一些额外的振荡,对此数据进行了傅里叶变换(图1e),6度和12度(C6、C12)对称的分量和晶格六重对称性对应,而最明显的二度分量(C2)对应于正常态的二度对称性电子态。

图1.面内旋转磁场下c轴电阻率随磁场方位角的变化。(a)类Corbino形状的c轴电阻测量位形图;(b) 不同磁场下c轴电阻率随角度的变化关系;(c,b)不同磁场下电阻率随磁场在面内方位角变化的极坐标表示;(e)7T的电阻率数据傅里叶变换结果。
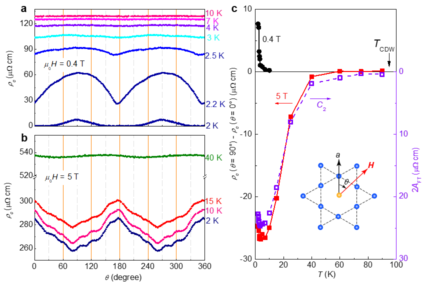
他们进一步研究了二度性随温度的变化关系。图2a,b分别显示的是0.4和5特斯拉磁场下的电阻率随角度的变化曲线,图2c显示了采用不同方式得到的二度性大小随温度的变化关系。可以清晰地发现,低磁场下超导态对应的电阻二度性在超导转变温度附近迅速消失,而高磁场下正常态测量到的二度性随着温度升高减弱,并在电荷密度波转变温度附近消失。因此推断正常态的二度对称的电子态与该系统中出现的三维CDW有关,这个CDW自然破坏了三度晶格对称性;而二度对称的超导电性也可能是这种三维CDW形成以后费米面和配对势出现二度对称的结果。当然,鉴于该系统中可能具有的非平庸的拓扑能带,二度对称性也可能来自于拓扑超导电性的。上述结果大大丰富了对这一具有笼目结构新型超导材料及其物性的认识。

图2.c轴电阻率的二度对称性随温度的变化关系。(a,b)磁场为0.4T和5T,不同温度下的c轴电阻率随角度的变化关系;(c)不同判据下的二度性随温度的变化关系,超导态的二度性在超导转变温度附近消失;而正常态的二度性在CDW相变温度附近消失。
该工作于近日发表在【Nature Communications 12, 6727 (2021)】。此工作是闻海虎、杨欢教授团队与北京理工大学姚裕贵、王秩伟教授团队合作完成的,北京理工大学团队提供了高质量的CsV3Sb5单晶样品。凯发k8官网是第一作者和第一通讯作者单位;文章共同第一作者是相英、李庆、李永恺博士生;通讯作者是杨欢教授、王秩伟教授和闻海虎教授。该工作得到自然科学基金委、国家重点研发计划等项目和人工微结构科学与技术协同创新中心的支持,在此表示感谢。
相关文章和链接
Ying Xiang, Qing Li, Yongkai Li, Wei Xie, Huan Yang,Zhiwei Wang,Yugui Yao,Hai-Hu Wen.Nature Communications 12, 6727 (2021).
链接
https://www.nature.com/articles/s41467-021-27084-z