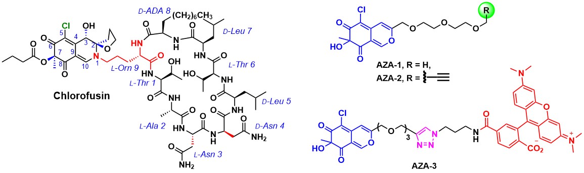
生物分子的化学修饰是研究调节其功能的重要方式,而高效、方便且可靠的生物分子修饰方案(包括新试剂开发)则更具有重要的应用价值。针对生物大分子中含有特征性伯胺残基的赖氨酸的化学修饰研究历史很长,经典的NHS活化酯修饰方法应用范围较广,且取得极大的成功,但存在试剂水解稳定性、副产物残留及化学选择性差等普遍性问题;当前发展的一些金属催化的新修饰方法也都存在下游纯化和金属残留等问题。阿扎菲酮 (azaphilone) 是一类真菌聚酮类次生代谢产物,亿万年的自然界进化形成了独一无二的独特化学结构和化学反应特性。姚祝军教授课题组围绕阿扎菲酮类型天然产物chlorofusin的合成化学及反应机理的系列研究工作 (Wei, W.-G., Yao, Z.-J., J. Org. Chem. 2005, 70, 4585; Qian, WJ; Yao, ZJ; et al., J. Am. Chem. Soc. 2007, 129, 6400; Qiu, H.-B.; Yao, Z.-J.; et al., Tetrahedron Lett. 2014, 55, 6055; Qiu, H.-B.; Yao, Z.-J.; et al., Tetrahedron. 2015, 71, 370) 表明,阿扎菲酮在温和弱碱性水相条件下可自发地与伯胺物种发生迅速且高度选择性的反应,生成化学性质稳定的乙烯基 γ-吡啶酮 (vPDN), 其副产物仅为一分子的水。受此自然方式杂环形成过程的启发,姚祝军教授指导的博士生伊善东等最近成功发展了一种基于阿扎菲酮的全新原理高效、无痕迹的伯胺特异性偶联试剂并成功应用于多肽、蛋白质和磷脂的修饰工作 (Angew. Chem., Int. Ed. 2022, 61(6), e202111783; DOI: 10.1002/anie.202111783. Published on Feb. 1, 2022)。

图1. 阿扎菲酮类型天然产物Chlorofusin和研究开发的新分子工具AZA-n系列.
研究表明, 分子工具AZA-1对赖氨酸残基具有非常专一的化学选择性。与此对比,包括半胱氨酸在内的其他亲核性氨基酸残基以及不同程度甲基化的赖氨酸残基都呈化学惰性。荧光光谱显示赖氨酸修饰产物的荧光性质明显提高,有利于修饰后大分子产物的荧光表征;反应动力学实验表明,反应迅速且速率随着pH的增加而提高;修饰产物在酸、碱及氧化条件下展示出高度的稳定性。在此基础上,研究人员进一步将AZA-1应用于对蛋白质的修饰。实验结果表明,AZA-1能够高效地修饰蛋白质中的赖氨酸残基以及N端胺基,并且修饰后的蛋白在480 nm蓝光激发下有荧光信号,使得修饰蛋白的检测更加便捷。进一步地,研究人员还概念性地论证了新的修饰工具AZA-2不仅可以实现对药用的曲妥珠单抗的数量可控交联修饰,且可以结合经典的炔烃-叠氮点击化学引入需要的功能物质(如荧光基团或细胞毒素);细胞影像证明修饰后的抗体仍具备专一性识别ErbB2阳性乳腺癌细胞的能力,为ADC药物研发提供了一种新的潜在途径(详见Angew. Chem. Int. Ed. 2021, 61(6), e202111783)。
鉴于阿扎菲酮分子工具对伯胺高度的化学选择性修饰特性,研究者再次扩展将另一分子工具AZA-3应用于含有伯胺基团磷脂的修饰分析。鉴于革兰氏阳性菌与阴性菌、哺乳动物细胞在细胞膜磷脂组成上的显著差异,细胞影像实验清晰表明,分子工具AZA-3成功实现了对革兰氏阳性菌的选择性修饰,为复杂样品中革兰氏阳性菌病原体的检测提供了一种新的方便技术手段(图2)。

图2. 工具分子AZA-3用于细菌氨基磷脂修饰及对革兰氏阳性菌的选择性荧光染色实验.
综上,本项研究工作从天然阿扎菲酮的特殊化学性质中获得灵感,创造性地设计并发展了一类新颖的、无需化学活化和催化剂驱动的高效清洁的伯胺选择性偶联试剂,并成功应用于不同场景下的多肽、蛋白质和氨基磷脂的修饰与影像展示。该标记试剂及其技术方案具有独特的反应机理、操作简单、化学选择性和生物相容性好等优点,并且试剂和产物都具有高度的化学稳定性。姚祝军和王欢教授共同指导了该工作,化学化工学院博士研究生伊善东、魏思媛和吴青松共同参与完成了具体研究工作。研究计划获得国家自然科学基金委、国家重点研发计划和深圳市科技发展计划项目的共同资助。
原文请参考:(a) Angew. Chem., Int. Ed. 2022, 61(6), e202111783; DOI: 10.1002/anie.202111783 (Published on Feb. 1, 2022); (b) 中国发明专利申请号:202110966324.0 (申请日:2021年08月23日)。